16+ Grading Slope Calculator


Elevation Grade Calculator Civil Engineering Notes


Energies Free Full Text A Review On Flame Stabilization Technologies For Uav Engine Micro Meso Scale Combustors Progress And Challenges


Construction Grade Calculator Australia Cody Corporation


Construction Grade Calculator Australia Cody Corporation


Free Slope Gradient Calculator


Grade Slope Wikipedia


Grade Slope Wikipedia


Feather Hair Extension Kit 6 Real Hair Feathers Pick Your Length Up To 16 Inches Long Optional Installation Kit Candy Corn Mix Etsy


Parcel 9 Old M 32 Grade Road Hillman Mi 49746 Home For Sale Mls 201827693 Max Broock


Gradient Slope Grade Pitch Rise Over Run Ratio Calculator


How To Find The Surface Area Of A Cuboid Maths Activity Kit For Grade 8 Allen Intelli Smart Box Youtube


Given The Points A 2 3 And B 0 1 What Is The Coordinate Of The Point C Such That The Angle Bac Is A Right Angle And The Length Bc Is 5 Units Quora


Grade Slope Wikipedia


Grade Slope Wikipedia


Mathematical Miscellany Mathematics Learning And Technology Page 3


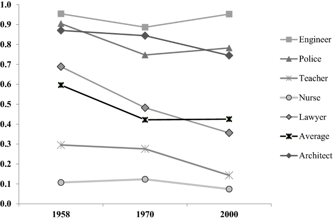
Documenting Occupational Sorting By Gender In The Uk Across Three Cohorts Does A Grand Convergence Rely On Societal Movements Empirical Economics


Grade Slope Calculator Calculator Academy


Slope Conversion Table Form Fill Out And Sign Printable Pdf Template Signnow

Iklan Atas Artikel

Iklan Tengah Artikel 1

Iklan Tengah Artikel 2

Iklan Bawah Artikel